产品介绍:
本产品具长效广谱防腐抗细菌活性,对酵母、霉菌有选择地抑制和杀灭,无生物积聚性,具有在环境中可很快通过水解、光降解和生物降解分解,具有卓越的广谱高效全方位捕捉微生物,快速地抑制革兰式阳性菌、革兰式阴性菌,包括假单孢菌的侵蚀和生长。可与各种表面活性剂、蛋白质以及大多数化妆品成分相配伍,能有效地构成安全高效的防腐杀菌体系。对有抑菌效果,对常见的霉菌、细菌、真菌、藻类等均有很强的抑制和杀灭作用,达到理想的防腐杀菌效果,广泛应用于日化产品、涂料、皮革化学、纺织印染和纤维等生产过程中。
产品优点:高效广谱 配伍性好 防腐杀菌 安全高效 用途广泛
物理参数:
外观 白色粉末
有效物含量 ≥95%
化学名称 重氮咪唑烷基脲
Cas No.: 78491-02-8
分子式 C8H14N4O7
分子量 278.22
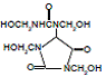
分子结构式

所列数据为本品基准,如需其他详细数据可向我公司技术服务工程师咨询
推荐用途:应用于日化产品、化妆品、涂料、纺织皮革、木材等。
1. 日化产品、湿巾、化妆品、洗发香波、护发素、防晒品及清洗剂
2. 纺织印染、造纸皮革浆料杀菌防腐
3. 需要用水混合后使用的粉末产品
4. 内外墙乳胶漆杀菌防腐
5. 糯米胶、丙烯颜料杀菌防腐
6. 丙烯颜料和色浆杀菌防腐
使用建议:HEZZ-96日化广谱防腐杀菌剂 1
去离子水 0~10 稀释以后使用,也可直接添加在产品中使用, 在生产制备最后阶段加入,搅拌分散均匀。
配套方案:根据具体情况可制定其它配套方案,具体方案请与我司技术工程人员咨询。
添加量:根据生产环境的菌落数、季节气候条件、水源、原料等情况适当调整添加量,
推荐添加量为总质量的1~3‰,实际添加量请用专业微生物试验得出。
包装规格:25kg 纸板桶或牛皮纸袋
注意事项:
1.使用前一定要先做相容性测试实验,确认和体系不发生反应或是使体系变色后再使用。
2.防止和乳液中的乳化剂发生反应,致使涂料絮凝或是破乳。特别是防水涂料、抗碱底漆、和纯丙乳液以及粒径细的乳液体系。
3.防止变色:可能会引起产品体系变色,特别是建筑胶水和浅色真石漆。
4.防化学灼伤:产品直接接触皮肤会对皮肤造成化学灼伤,一旦接触皮肤请立即用自来水加肥皂冲洗五分钟以上。
5.本品容器建议避免直接排入环境。
贮存条件:本品在避光、密封、常温条件下保质期为12个月