- 产品中心 -化学清洗剂材料与产品

大丰天生药业 盐酸多西环素

价格 电议

起批量 25-9999 千克

卖家服务 48小时发货 买家保障支付方式支付宝
采购量-+

详情

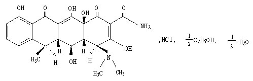
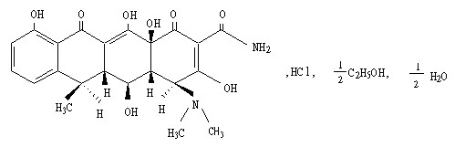
产品名称:盐酸多西环素
CAS 号:24390-14-5
英文名称:Doxycycline Hyclate
化 学 名:6-甲基-4-(二甲氨基)-3,5,10,12,12a-五羟基-1,11-二氧代-1,4,4a-5,5a- 6,11,12a-八氢-2-并四苯甲酰胺盐酸盐半乙醇半水合物
分 子 式:C22H24N2O8·HCl·1/2C2H50H·1/2H2O
分 子 量:512.93
结 构 式:
性  状:淡黄色至黄色结晶性粉末;无臭,味苦
类  别:四环素类抗生素


CopyRight 2017-2020 共享材料(www.areliya.com) 电话:0513-82262580 (商务洽谈) 手机号码:13817232091 地址:中国(上海)自由贸易试验区奥纳路79号1幢三层3011室 沪ICP备14003444号-1