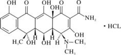
| 产品名称: | 盐酸土霉素 | | 产品图片: |  | | 英文名称: | OXYTETRACYCLINE HYDROCHLORIDE | | 化 学 名: | (4S,4aR,5S,5aR,6S,12aS)-4-二甲氨基-4-二甲氨基-1,4,4a,5,5a,6,11,12a-八氢-3,5,6,10,12,12a-六羟基-6-1,11-二氧代-并四苯-2-甲酰胺单盐酸盐[2058-46-0] | | 分 子 式: | C22H24N2O9·HCL | | 分 子 量: | 496.90 | | 结 构 式: |  | | 性 状: | 黄色结晶性粉末,无臭,味微苦,微有引湿性,在日光下颜色变暗,在碱性溶液中易破坏失效,易溶于水,微溶于乙醇,不溶于氯仿或乙醚。 | | 用 途: | 抗生素类药品,有广谱抑菌作用,主治立克次体病、布氏杆菌病、支原体肺炎、衣原体感染,也可用于敏感革兰氏阳性球菌与阴性杆菌引起的轻症感染。 | | 包 装: | 25kg纸板桶 | | 有 效 期: | 4年 |
|