山东枣庄市泰和化工厂 有机膦酸盐 氨基三甲叉膦酸四钠 ATMPoNa4
卖家服务
48小时发货
买家保障支付方式
支付宝
详情
Tetra sodium salt of Amino Trimethylene Phosphonic Acid (ATMPoNa4)
- 别名: 氨基三亚甲基膦酸四钠
- CAS No. 20592-85-2
- 分子式 C3H8NO9P3Na4 相对分子质量:387
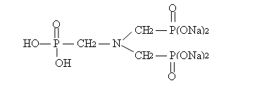
- 结构式

- 一、性能与用途:
- ATMPoNa4是ATMP的中性钠盐,可阻止水中成垢盐类形成水垢,特别是碳酸钙垢的形成。 此产品适用于火力发电厂、炼油厂的循环冷却水、油田回注水系统,反渗透膜的阻垢剂。ATMPoNa4对于其他一些添加剂也有很好的相容性。此产品特别适用于中性到酸性配方中,无氨味产生。
- 二、技术指标
| 项 目 | 指 标 |
| HG/T 4328-2012 |
| 外 观 | 无色或淡黄色透明液体 |
| 活性组分(以ATMP计)/% | ≥30.0 |
| 活性组分(以ATMP·Na4计)/% | ≥38.8 |
| pH值(1%水溶液) | 6.0-8.0 |
| 密度(20℃)/g·cm-3 | 1.35~1.45 |
| Fe含量(以Fe计) /mg·L-1 | ≤10.0 |
| 氯化物 (以Cl-计) /% | ≤1.0 |
- 三、使用方法
- ATMPoNa4与其它有机膦酸、聚羧酸或聚羧酸盐等复配成有机碱性水处理剂,用于各种不同水质条件的循环冷却水系统。
- 四、包装与贮存
- ATMPoNa4用塑料桶包装,每桶30Kg 或250Kg,也可根据用户需要确定。此产品贮于室内阴凉处,贮存期十二个月。
- 五、安全防护
- 此产品为中性,操作时注意劳动保护,应避免与皮肤、眼睛等接触,接触后用大量清水冲洗。