山东枣庄市泰和化工厂 有机膦酸盐 二乙烯三胺五甲叉膦酸七钠 DTPMPoNa7
卖家服务
48小时发货
买家保障支付方式
支付宝
详情
sodium salt of hylene Triamine Penta (Methylene Phosphonic Acid) (DTPMPoNa7)
- CAS No. 68155-78-2 (7-Na) 22042-96-2 (x-Na)
- 分子式 C9H21O15N3P5Na7 相对分子质量:727
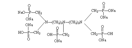
- 结构式

- 一、性能与用途:
- DTPMPoNa7可用作阻垢剂、高效螯合剂、优良的BaSO4阻垢剂,此产品广泛用于冷却水处理、过氧化物漂白的稳定剂、洗涤助剂、市政工业清洁用水、地热水处理、油田阻垢。
- 二、技术指标
| 项 目 | 指 标 |
| HG/T 4330-2012 |
|
| 外 观 | 红棕色液体 | 红棕色透明液体 |
| 活性组分(以DTPMPA计)/% | 31.5~33.5 | 24.0~26.0 |
| 活性组份(以DTPMPA·Na7计)/% | 40.0~42.5 | 30.5~33.0 |
| 总磷含量(以PO43-计)/% | -- | 19.7~21.7 |
| pH值(1%水溶液) | 7.0~9.0 | 7.0~9.0 |
| 密度(20℃)/g·cm-3 | ≥1.25 | 1.24~1.34 |
| 氯化物(以Cl-计) /% | ≤5.0 | ≤5.0 |
| Fe含量(以Fe计) /mg·L-1 | ≤20.0 | ≤20.0 |
- 三、包装与贮存
- DTPMPoNa7用塑料桶包装,每桶25Kg 或250Kg,也可根据用户需要确定。贮于室内阴凉处,贮存期十个月。
- 四、安全防护
- 此产品为中性,操作时注意劳动保护,应避免与皮肤、眼睛等接触,接触后用大量清水冲洗。