- 产品中心 - - -

辽宁科隆精细化工 固化剂原料 混胺 多胺组分

价格 电议

起批量 200-9999 千克

卖家服务 48小时发货 买家保障支付方式支付宝
采购量-+

详情

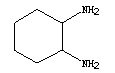
主要组分

序号主要组分名称分子结构式含量
1N-(1-丁-1-烯基)氮丙啶2.0%
21,2-环己二胺52.5%
31,6-己二胺16.0%
4癸二胺7.0%
5多胺22.5%

技术指标

型号KL-W001KL-W002
品名胺组分多胺组分
外观深黄色透明液体深黄色透明液体
有效组分≥98%≥98%
胺值900±100800±100
产品指标具体以企业质量标准或双方签订的质量协议为准。
公司可根据客户需求设计分子结构、定制不同质量规格的产品。

性能与应用

  1. 本产品主要应用于环氧固化剂行业,可以用来生产酚醛改性胺以及聚酰胺等环氧树脂固化剂。

  2. 本品具有较高的胺值,综合性价比高。

包装贮运

200Kg铁桶或指定规格包装桶、按一般化学品贮存和运输、贮存于干燥通风处、保质期一年。


CopyRight 2017-2020 共享材料(www.areliya.com) 电话:0513-82262580 (商务洽谈) 手机号码:13817232091 地址:中国(上海)自由贸易试验区奥纳路79号1幢三层3011室 沪ICP备14003444号-1