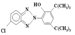
化学名:2-(2'-羟基-3',5'-二叔丁基苯基)-5-氯代苯并三唑 分子式: C20H24N3OCL CAS NO. 3864-99-1 结构式:  化学指标: 项 目 | 规 格 | 外 观 | 淡黄色粉末 | 纯 度 | ≥ 99.0% | 熔 点 | 154-158℃ | 灰 份 | ≤ 0.05% | 挥 发 份 | ≤ 0.5% | 透 光 率 | 460nm ≥ 92% | 500nm ≥ 95% |
特性和用途: 紫外线吸收剂UV-327为性能卓越的高效防老化助剂,能强烈地吸收300-400毫米的紫外线,最高吸收峰为353毫微米,且化学稳定性良好,挥发性小,与聚烯烃的相溶性良好,特别适用于聚乙烯和聚丙烯,还可用于聚甲醛、聚甲基并烯酸甲酯、聚氨酯、丙纶纤维等许多领域。
贮存与包装: 紫外线吸收剂UV-327无毒、不易燃、不腐蚀、贮存稳定性好,采用25KG纸板桶内衬塑袋包装. |