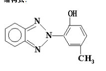
化学名:2-(2'-羟基-5'-甲基苯基)苯并三唑
分子式:C13H11N3O
CAS NO. 2440-22-4
结构式:

化学指标:
外 观 | 白色至淡黄色粉末 |
含 量 | ≥ 99% |
熔 点 | 128-132°C |
灰 份 | <0.2% |
透光率 | 440nm>97% |
550nm>98% |
溶解度: 23℃ 单位:g/100mL溶剂
溶 剂 | 溶解度 | 溶 剂 | 溶解度 |
****** | 2.5 | 邻苯二甲酸二辛酯 | 2.5 |
乙醇 | 0.3 | 癸二酸二辛酯 | 2.4 |
甲醇 | 0.2 | 甲乙醇 | 3.9 |
卡必醇 | 2.6 | 甲基丙烯酸甲酯 | 5.0 |
醋酸乙酯 | 3.5 | 苯乙烯 | 7.2 |
醋酸丁酯 | 3.0 | 磷酸三甲苯酯 | 3.3 |
苯 | 6.9 | 溶剂汽油 | 0.9 |
甲苯 | 6.0 | 石油溶剂 | 1.5 |
环己烷 | 0.7 | 水 | 0 |
特性和用途:
紫外线吸收剂UV-P为高效紫外线吸收剂,UV-P最大紫外线吸收范围为270-400nm.主要适用于聚酯,环氧醋酸纤维素,聚氯乙烯,聚苯乙烯,有机玻璃,聚丙烯腈树脂等.用在薄制品中一般用量为 0.1-0.5%,厚制品中为0.05-0.2%.
贮存与包装 :
紫外线吸收剂UV-P无毒、不易燃、不腐蚀、贮存稳定性好,采用25KG纸板桶内衬塑袋包装.