- 产品中心 - - -

上海联本精细化工 紫外线吸收剂 紫外线吸收剂UV944

价格 电议

起批量 25-9999 千克

卖家服务 48小时发货 买家保障支付方式支付宝
采购量-+

详情

紫外线吸收剂UV944 UV783

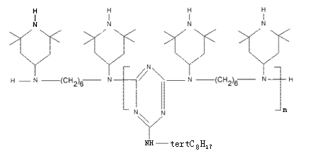
化学名称:聚-{[6-[(1,1,3,3,-四甲基丁基)-胺基]1,3,5,-三嗪-2,4-二基][(2,2,6,6-四甲基哌啶基)-亚胺基]-1,6-己烷二基-[(2,2,6,6-四甲基哌啶基)-亚胺基]}
 同类产品: CHIMASSORB944FD
 CAS NO.:71878-19-8
 分 子 量:大于2000
 性质:光稳定剂944为白色或淡黄色粉末,溶于******、苯、氯仿等有机溶剂,相对密度1.01(20℃),热失重300℃为1%,有效氮含量4.6%.
 【分子结构】
 12a.png   【产品规格】


   
     项  目

       指  标

     外  观

       白色或淡黄色粉末

     挥发分 %(m/m)

       ≤0.5

     软化点

       ≥100

     灰 %(m/m)

       ≤0.5

     分

       20003000

     透光率,%

       ≥90(425nm
   
       ≥95(500nm)

特性和用途
 
稳定剂944为受阻胺类高分子量光稳定剂,因其分子中有多种官能团,故光稳定性能高.由于分子量大,该产品具有很好的耐热性、耐抽提性、更低的挥发性和迁 移性以及良好的树脂相容性. 光稳定剂944主要适用在低密度聚乙烯薄膜、聚丙烯纤维、聚丙烯胶带、EVA薄膜、ABS、聚苯乙烯及食品包装等方面。

贮存和包装:光稳定剂944采用25KG纸板桶内衬塑袋包装.密封干燥避光条件下储藏保存.




CopyRight 2017-2020 共享材料(www.areliya.com) 电话:0513-82262580 (商务洽谈) 手机号码:13817232091 地址:中国(上海)自由贸易试验区奥纳路79号1幢三层3011室 沪ICP备14003444号-1