- 产品中心 - - -

郑州易和精细化学品 阳离子表面活性剂 烷基季铵盐 聚烯烃基季铵盐

价格 电议

起批量 200-9999 千克

卖家服务 48小时发货 买家保障支付方式支付宝
采购量-+

详情

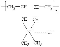
该产品是一种新型超支化吉米奇(Gemini)疏型季铵盐,具有极高阳电荷密度,易溶于水,是一种低泡型阳离子聚合物。无毒、无刺激、易生物降解。耐酸、耐盐、耐硬水,与其它类型表面活性剂配伍性好。

1、高阳电荷密度;

3、耐强酸性能;

四、产品用途

2、用作水剂农药的增效剂;

4、用作高效破乳剂;

6、用作乳液聚合的高效阳离子乳化剂;

1.采用塑料桶包装,每桶净重200kg,或按用户要求定制。

3.本品无毒,属非易燃易爆品,贮于阴凉、避风处,密闭保存。如有分层,请摇匀后使用。


CopyRight 2017-2020 共享材料(www.areliya.com) 电话:0513-82262580 (商务洽谈) 手机号码:13817232091 地址:中国(上海)自由贸易试验区奥纳路79号1幢三层3011室 沪ICP备14003444号-1