- 产品中心
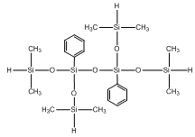
化学名称:3,5-双(二甲基硅氧基)-1,1,7,7-四甲基-3,5-二苯基四硅氧烷
别 名:1,1,3,3-四(二甲基硅氧基)-1,3-二苯基二硅氧烷
CAS: 66817-59-2
化学式:
技术指标:
外观:无色透明液体
比重:1.005
折光率, 20℃:1.4622
沸点℃:95-96°C/ 0.25mmHg
闪点, COC, ℃:> 110
含量 (GC) % ≥:95
产品应用:
与甲基硅油、液体硅橡胶、苯基硅橡胶、苯基硅树脂有良好的相溶性,可以用作加成型硅橡胶、苯基硅橡胶、苯基硅树脂的交联剂。
贮存包装:
包装为15kg, 200kg涂层铁桶,贮存于通风阴凉处