Acrylic Acid-2-Acrylamido-2-Methylpropane Sulfonic Acid Copolymer
CAS: 40623-75-4
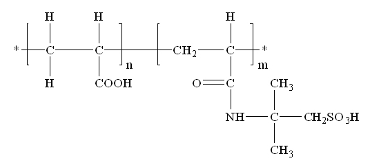
结构式:

一、产品性能
AA/AMPS为丙烯酸与2-丙烯酰胺-2-甲基丙磺酸(AMPS)共聚而成。由于分子结构中含有阻垢分散性能的羧酸基和强极性的磺酸基,能提高钙容忍度,对水中的磷酸钙、碳酸钙、锌垢等有显著的阻垢作用,并且分散性能优良。与有机膦复配,增效作用明显。特别适合高pH、高碱度、高硬度的水质,是实现高浓缩倍数运行的最理想的阻垢分散剂之一。
二、技术指标 HG/T3642-1999
项 目 | 指 标 | |
外 观 | 无色或淡黄色粘稠液体 | |
| 固体含量 % ≥ | 30 | 40 |
| 游离单体(以丙烯酸计)% ≤ | 0.5 | 0.8 |
| 密度(20℃)g/cm3 ≥ | 1.05 | 1.15 |
| 极限粘数 (30℃) dl/g | 0.055~0.100 | —— |
| pH值(1%水溶液) ≤ | 2.5 | 3.5—4.5 |
三、应用范围
AA/AMPS主要用作敞开式工业循环冷却水系统、油田污水回注系统、冶金系统循环水处理的阻垢分散,钢铁厂淋洗的冷却水防止Fe2O3粘泥沉积,AA/AMPS可与有机膦酸盐、锌盐复合使用,适于pH值7.0~9.5。
四、包装与储存
AA/AMPS塑料桶包装,每桶25kg、200kg、250 kg,也可根据用户要求确定。AA/AMPS贮存期为十个月。