- 产品中心
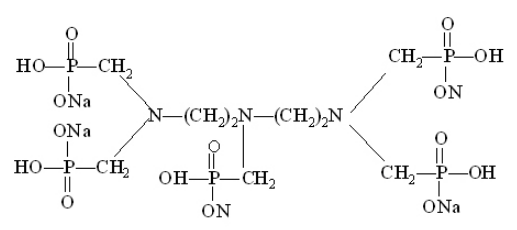
Diethylene Triamine Penta (Methylene Phosphonic Acid) Pentasodium salt
【CAS】 68155—78—2 Dequest:2066
分子式:C9H23O15N3P5Na5 相对分子质量:683.2
结构式:

一、性能与用途
DTPMP?Na5是一种中性产品,DTPMP?Na5无毒,在水处理中用作循环冷却水和锅炉水的阻垢缓蚀剂。
DTPMP?Na5可用做过氧化物稳定剂、纺织印染用螯合剂、颜料的分散剂、化肥中微量元素携带剂、混凝土添加剂。此外,在造纸、电镀和化妆品等方面也得到了广泛应用。
二、质量指标
项 目 | 指 标 |
外 观 | 琥珀色透明液体 |
| 活性组分 (以DTPMPA计)% ≥ | 24.0—26.0 |
| 活性组分 (以DTPMP·5Na计)% ≥ | 28.5—31.0 |
| 总磷(以PO43-计)% ≥ | 19.7—21.7 |
| 氯化物 (以Cl-计) % ≤ | 5.0 |
| 密度(20℃)g/cm3 ≥ | 1.25 |
| 铁(以Fe计) ppm ≤ | 20.0 |
| PH值(1%水溶液) | 6.0~8.0 |
三、包装与储存
DTPMP?Na5液体为塑料桶包装,每桶25Kg或250Kg。贮于室内阴凉、干燥处,防潮。贮存期十个月。