- 产品中心
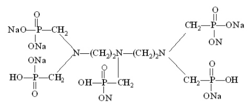
Sodium salt of Diethylene Triamine Penta (Methylene Phosphonic Acid)
【CAS】22042-96-2 (x-Na) 68155-78-2 (7-Na) Dequest 2066 2066C2
分子式:C9H21O15N3P5Na7 相对分子质量:727
结构式:

一、性能与用途
DTPMP?Na7可用作阻垢剂、高效螯合剂、优良的BaSO4 阻垢剂,DTPMP?Na7广泛用于冷却水处理、过氧化物漂白的稳定剂、洗涤助剂、油田阻垢。
二、质量指标
项 目 | 指 标 |
| 外 观 | 深红棕色液体 |
| 活性组分 (以DTPMPA计)% | 24.0-26.0 31.5-33.5 |
| 活性组分 (以DTPMPANa7计)% | 30.5-33.0 40.0-42.5 |
| 总磷(以PO43-计)% ≥ | 19.7-21.7 25.9-27.9 |
| 氯化物 (以Cl-计) % ≤ | 5.0 5.0 |
| 铁(以Fe计) ppm ≤ | 20.0 20.0 |
| PH值(1%水溶液) | 7.0-9.0 7.0-9.0 |
| 密度(20℃) g/cm3 ≥ | 1.24-1.34 1.34-1.44 |
三、包装与贮存
DTPMP?Na7塑料桶包装,每桶25Kg 或250Kg,也可根据用户需要确定。贮于室内阴凉处,贮存期十个月。
四、安全防护:
DTPMP?Na7应避免本品与眼睛、皮肤接触,一旦溅到身上,应立即用大量水冲洗。