- 产品中心
Ethylene Diamine Tetra (Methylene Phosphonic Acid) Pentasodium salt
【CAS】 7651—99—2 Dequest::2046
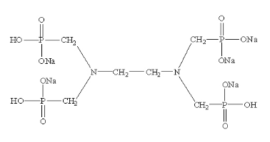
分子式: C6H15O12N2P4Na5 相对分子质量:546.13
结构式:

一、性能与用途
EDTMP?Na5是中性产品,EDTMP?Na5是含氮有机多元膦酸盐,属阴极型缓蚀剂。能与水混溶,无毒无污染,化学稳定性及耐温性好,在200℃下仍有良好的阻垢效果。在水溶液中能离解成8个正负离子,因而可以多个金属离子螯合,形成多个单体结构大分子网状络合物,松散地分散于水中,使钙垢正常结晶破坏。EDTMP钠盐对硫酸钙、硫酸钡垢的阻垢效果好。
EDTMP?Na5用于循环水和锅炉水的缓蚀阻垢剂、无氰电镀的络合剂、印染工业软水剂、电厂冷却水处理等。
二、质量指标
项 目 | 指 标 |
外 观 | 琥珀色透明液体 |
| 活性组分 (以EDTMP·5Na 计)% ≥ | 30.0—32.5 |
| 活性组分 (以EDTMPA计)% ≥ | 24.0—26.0 |
| 氯化物 (以Cl-计) % ≤ | 2.0 |
| 密度(20℃)g/cm3 | 1.25 |
| 铁(以Fe计) ppm ≤ | 20 |
| PH值(原液) | 6.0~8.0 |
三、包装与贮存
EDTMP?Na5液体为塑料桶包装,每桶25Kg或250Kg。贮于室内阴凉、干燥处,防潮。贮存期十二个月。