- 产品中心
Tetra sodium salt of Amino Trimethylene Phosphonic Acid (ATMP?Na4)
别名:氨基三亚甲基膦酸四钠 CAS No. 20592-85-2
分子式 C3H8NO9P3Na4 相对分子质量:387
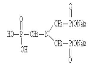
结构式

一、产品性能
ATMP?Na4是ATMP的中性钠盐,可阻止水中成垢盐类形成水垢,特别是碳酸钙垢的形成。 ATMP?Na4适用于火力发电厂、炼油厂的循环冷却水、油田回注水系统,反渗透膜的阻垢剂。ATMP?Na4对于其他一些添加剂也有很好的相容性。ATMP?Na4特别适用于中性到酸性配方中,无氨味产生。
二、技术指标:
项 目 | 指标 |
外 观 | 无色或淡黄色透明液体 |
活性组分(以ATMP计) % | 29.4-32.4 |
活性组分(以ATMP·Na4计) % | 38.0-42.0 |
密度(20℃),g/cm3 ≥ | 1.35-1.45 |
PH(1%水溶液) | 6.5-7.5 |
Fe(以Fe2+计)含量mg/L ≤ | 35 |
三、应用范围
ATMP?Na4与其它有机膦酸、聚羧酸或聚羧酸盐等复配成有机碱性水处理剂,用于各种不同水质条件的循环冷却水系统。
四、安全与防护
ATMP?Na4为中性,操作时注意劳动保护,应避免与皮肤、眼睛等接触,接触后用大量清水冲洗。
五、包装与储存
ATMP?Na4用塑料桶包装,每桶30Kg 或250Kg,也可根据用户需要确定。ATMP?Na4贮于室内阴凉处,贮存期十个月。