- 产品中心
2-Hydroxyphosphonocarboxylic Acid
【CAS】 23783-26-8
别 名: 膦酰基羟基乙酸
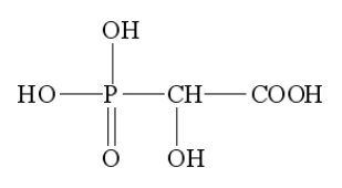
分子式 C2H5O6P 相对分子质量:156
结构式:

一、产品性能
HPAA化学稳定性好,不易水解,不易被酸碱所破坏,使用安全可靠,无毒无污染,能提高锌的溶解度,具有极强的缓蚀作用,其缓蚀性能比HEDP、EDTMP高5~8倍。它与低分子量的聚合物一起组成的有机缓蚀阻垢剂性能优良。
二、质量指标
| 项 目 | 指 标 |
| 外 观 | 暗红棕色液体 |
| 固含量 % ≥ | 50 |
| 亚磷酸(以PO33-计)% ≤ | 4.0 |
| 密度(20℃)g/cm3 ≥ | 1.30 |
| PH值(1%水溶液) | 1~3 |
三、应用范围与使用方法
HPAA主要用做金属的阴极缓蚀剂,广泛用于钢铁、石化、电力、医药等行业的循环冷却水系统的缓蚀阻垢,适合用作我国南方低硬度、易腐蚀水质的缓蚀剂,与锌盐复配效果更佳。
四、包装与储存
HPAA为塑料桶包装,每桶30kg或25kg。贮于室内阴凉处,贮存期为十二个月。