- 产品中心
Bis(Hexamethylene Triamine Penta (Methylene Phosphonic Acid))
【CAS】 34690-00-1
别名:二己烯三胺五亚甲基膦酸 Dequet 2090
分子式:C17H44O15N3P5 相对分子质量:685
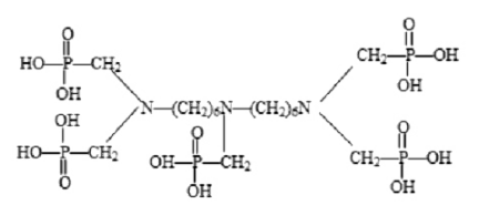
结构式:

一、产品性能
BHMTPMPA是高效的螯合型阻垢剂,对碳酸盐垢和硫酸盐垢具有良好的阻垢效果。BHMTPMPA在较宽的PH值范围和120℃高温下有极佳的水溶性和热稳定性,对钙离子容忍度高。
二、质量指标
| 项 目 | 指 标 |
| 外 观 | 深琥珀色液体 |
| 活性组份% ≥ | 43.0-48.0 |
| 密度(20℃)g/cm3 ≥ | 1.23 |
| 铁(以Fe3+计)含量ppm ≤ | 65 |
三、应用范围与适用方法
BHMTPMPA用作油田水处理的缓蚀阻垢剂,工业循环冷却水和锅炉水的阻垢缓蚀剂。
四、包装与储存
BHMTPMPA采用塑料桶包装,每桶25KG或根据用户需要确定。BHMTPMPA贮存于室内阴凉处,贮存期为十个月。
五、安全防护
BHMTPMPA为酸性,应避免与眼睛、皮肤接触,接触后应立即用大量清水冲洗。