物理化学性质
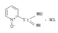
分子式:C6H8N3SOCl
化学结构式:

分子量:205.4
外 观:浅灰色或奶黄色粉末
气 味:略有微酸味
PH 值:3~10
含 量:≥95%
水不溶物:≤0.05%
熔 点:157-159℃(分解)
溶解性:溶于水、微溶于甲醇、乙醇。
挥发性:固体有一定挥发性。
| ●安全性 |
①对小鼠急性经口LD50>1000mg/kg ②对皮肤无刺激性 ③三致试验阴性 |
| ●防霉抗菌效果 |
本品对黑曲霉、黄曲霉、变色曲霉、桔青霉、宛氏拟青霉、绿色木霉、球毛壳霉、腊叶芽枝霉等8种霉菌和大肠杆菌、金黄色葡萄球菌、桔草芽胞杆菌、巨大芽孢杆菌、荧光假单胞杆菌等5种细菌 以及酒精酵母、啤酒酵母等2种酵母菌都显示出良好的抑杀效果,对各种微生物的最低抑制浓度(MIC) | ●应用领域 | | PM为高效、广谱、低毒、使用安全方便的杀菌防霉剂,用在洗发水内且有极强的去屑止痒作用。用于日化产品、涂料、种子处理、果树、水果防腐、皮革制品、工业循环冷却水、胶粘剂、造纸、医药、农药等。 |
| ●防霉抗菌效果 | 1、本品虽然低毒、使用安全,但仍需避免接触嘴巴、眼睛和皮肤。操作时请做好防护工作。 2、请贮存在避光阴凉处。 3、本品为纸板桶(固体)包装,25kg。 |
|