- 产品中心
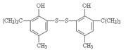
分 子 式:C22H30O2S2
分 子 量:390.34
结 构 式:
性 状:本品外观为深褐色粘稠状液体。易溶于有机溶剂,不溶于水。
技术标准:执行Q/L BH04-1997《420橡胶活化剂》标准
指标名称 | 指 标 | ||
| 粘度(t=35°C)厘泊 | 20-150 | ||
| 8 | ||
| 2 |
用 途: 本品是一种重要的橡胶活化剂。由于本品对橡胶有很强的活化性能。因此广泛用于橡胶工业中。可用于废物
贮 存: 密封贮于阴凉干燥处,防火、防晒、防潮。
包 装: 镀锌铁桶包装,净重200kg/桶。