详情
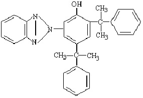
中文名:2-(2-羟基-3,5双(a,a-二甲基苄基)苯基)苯骈三唑
CAS NO.: 70321-86-7

外观 :淡黄色粉末
熔点 :≥139.5 -141℃
挥发份: ≤0.5%
灰份 :≤0.05%
纯度 :≥99%
透光率: 460nm≥97%
500nm≥98%
特性与用途:
紫外线吸收剂UV-234为优良的光稳定剂 ,外观为淡黄色粉末,熔点139.5-141℃.适用于PP、TPE、硬PVC、POM、PA、PC、PBT/PET、PMMA等等。
贮存与包装:
紫外线吸收剂UV-234无毒、不易燃、不腐蚀、贮存稳定性好,采用25KG纸板桶内衬塑袋包装.