详情
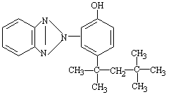
化学名称: 2-( 2'- 羟基5'- 叔辛基苯基)苯并三唑
分子式: C20H25N3O
分子量: 323
CAS NO.: 3147-75-9
化学结构式:

外观: 白色粉末
含量: ≥ 99%
熔点: 101-106℃
干燥失重: ≤ 0.5%
灰份: ≤ 0.1%
透光率: 440nm≥ 97 %
500nm≥ 98%
毒 性: 基本无毒,大白鼠经口 LD 50 =10g/Kg 体重。
特性和用途:
紫外线吸收剂UV-329外观为白色粉末,熔点101-106℃,溶于苯、苯乙烯、乙酸乙酯,微溶于乙醇,不溶于水,它是性能优越的光稳定剂,挥发性低.UV-329最高紫外线吸收峰为345nm,用于聚苯乙烯、聚甲基丙烯酸、甲酯、聚酯和ABS树脂等。
包装:25公斤纸板桶或纸箱包装。
溶解度: 25℃ 单位:g/100mL溶剂
溶剂 | 苯 | 苯乙烯 | 正庚烷 | 醋酸乙酯 | 乙醇 (95%) | 乙二醇 | 水 |
溶解度 | 39.2 | 33.0 | 7.4 | 21.8 | 0.6 | 0 | 0 |