泡沫保温板用酚醛树脂 (WL-6012)
中文名称: 酚醛树脂
英文名称: phenolic resin
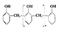
化学结构式:

技术指标:
检测项目品名规格 | 外观 | 粘度(CP/25 ℃) |
WL-6012 | 棕红、棕黄色半透明液体 | 3000-3500 |
使用特征: 酚醛树脂有着较强极性的高分子化合物,它与许多物质的表面都很容易侵润、胶粘;其极性官能团还具有相当活泼的反应活性,还可能与被粘物质的表面产生化学反应,形成化学连接,正因为酚醛树脂的强极性和反应性,它可以通过多种途径加以改性制得各种各样改性酚醛树脂,使其更具有广泛的运用范围。在使用过程中具有成型时间稳定、色浅、游离酚低、分子量分布合理,耐热性好等特点。
用 途: 热固性酚醛树脂 WL-6012型号可作为生产保温材料用树脂。
包 装: 一般用200/250kg铁桶包装或者25kg塑料桶包装。
贮 存: 酚醛树脂由于是热固性树脂,一般在室温下也会不断的发生反应,所以树脂的各项指标也会随着储存时间的延长而发生变化,特别是分子量和粘度都会随时间的延长而增大,不能长期存放,应现购现用;低温存放,运输是切忌阳光暴晒,远离热源。建议低温保存。有效期1个月,冬季可储藏2~3个月。