泡沫保温板用酚醛树脂 (WL-6011)
中文名称: 酚醛树脂
英文名称: phenolic resin
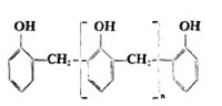
化学结构式:

技术指标:
检测项目品名规格 | 外观 | 粘度(CP/25 ℃) |
WL-6011 | 棕红色粘稠液体 | 3500-4500 |
使用特征: 酚醛树脂有着较强极性的高分子化合物,它与许多物质的表面都很容易侵润、胶粘;其极性官能团还具有相当活泼的反应活性,还可能与被粘物质的表面产生化学反应,形成化学连接,正因为酚醛树脂的强极性和反应性,它可以通过多种途径加以改性制得各种各样改姓酚醛树脂,使其作为粘接剂更具有广泛的运用范围。
用 途: WL-6011型号的树脂可作为保温材料用树脂,是生产外墙保温用酚醛泡沫板、防火板材等原料。具有成型时间稳定、色浅、游离酚低、分子量分布合理,耐热性好等特点。
包 装: 一般用200/250kg铁桶包装或者25kg塑料桶包装。
贮 存: 酚醛树脂是热固性树脂,不能长期存放,应现购现用;低温存放,运输是切忌阳光暴晒,远离热源。
有效期1个月,冬天可储存2~3个月。