- 产品中心
CAS NO. 55719-33-0
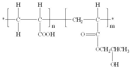
别名:AA/HPA 共聚物
结构式:

一、产品性能
T-225为丙烯酸和丙烯酸羟丙酯共聚物,它对碳酸钙、硫酸钙特别是磷酸钙垢的形成和沉积有良好的抑制作用,对三氧化二铁、污泥、粘土和油垢也有良好的分散性能;能在高pH值的条件下使用;T-225 与有机膦酸盐、BTA等混溶性好,对抑制锌盐沉积和磷酸钙垢的析出有特效。在较高温度和碱性条件下有良好阻垢分散作用。
二、质量指标:HG/T2429-2206
项 目 | 指 标 | |
中性 | 酸性 | |
外 观 | 无色至淡黄色粘稠液体 | |
固体含量 % ≥ | 30.0 | 30.0 |
游离单体(以AA计)% ≤ | 0.5 | 0.58 |
PH(1%水溶液) | 7.5±1.0 | 2.5±0.5 |
极限粘数 (30℃) dl/g | 0.065~0.095 | |
密度 (20℃)g/cm3 ≥ | 1.100 | |
三、应用范围与使用方法
T-225适用于碱性条件下和有较多磷酸盐存在的循环冷却水中使用。主要用作供暖加热器和非蒸发性锅炉内水处理、各种循环冷却水、含钙量很高的油田回注水的阻垢分散剂,正常使用量10-30mg/L,可与有机膦等复配成全有机(碱性)配方。
四、包装与贮存
T-225塑料桶包装,每桶25kg或250kg。贮于室内阴凉处,贮存期为十二个月。
五、安全防护
T-225为酸性,应该避免与皮肤、眼睛等接触,接触后用大量清水冲洗。