- 产品中心 -塑料助剂

杭州景优 紫外线吸收剂UV-234

价格 电议

起批量 25-99999 千克

卖家服务 48小时发货 买家保障支付方式支付宝
采购量-+

详情

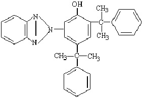
中文名:2-2-羟基-3,5(a,a-二甲基苄基)苯基)苯骈三唑
分子式:C30H29N3O
CAS NO.: 70321-86-7
化学结构式:

外观 :淡黄色粉末
熔点 ≥139.5 -141
挥发份: ≤0.5%
灰份 ≤0.05%
纯度 ≥99%
透光率: 460nm≥97
        500nm≥98
特性与用途:
紫外线吸收剂UV-234为优良的光稳定剂 ,外观为淡黄色粉末,熔点139.5-141.适用于PPTPE、硬PVCPOMPAPCPBT/PETPMMA等等。
贮存与包装:
紫外线吸收剂UV-234无毒、不易燃、不腐蚀、贮存稳定性好,采用25KG纸板桶内衬塑袋包装.


CopyRight 2017-2020 共享材料(www.areliya.com) 电话:0513-82262580 (商务洽谈) 手机号码:13817232091 地址:中国(上海)自由贸易试验区奥纳路79号1幢三层3011室 沪ICP备14003444号-1