- 产品中心 -塑料助剂

杭州景优 紫外线吸收剂UV-329

价格 电议

起批量 25-99999 千克

卖家服务 48小时发货 买家保障支付方式支付宝
采购量-+

详情

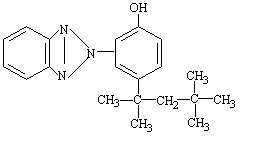
化学名称: 2- 2'- 羟基5'- 叔辛基苯基)苯并三唑
分子式: C20H25N3O
分子量: 323
CAS NO. 3147-75-9
化学结构式:


外观: 白色粉末
含量: ≥ 99%
熔点: 101-106
干燥失重: ≤ 0.5%
灰份: ≤ 0.1%
透光率:  440nm≥ 97 %
        500nm≥ 98%
性: 基本无毒,大白鼠经口 LD 50 =10g/Kg 体重。
特性和用途:
紫外线吸收剂UV-329外观为白色粉末,熔点101-106,溶于苯、苯乙烯、乙酸乙酯,微溶于乙醇,不溶于水,它是性能优越的光稳定剂,挥发性低.UV-329最高紫外线吸收峰为345nm,用于聚苯乙烯、聚甲基丙烯酸、甲酯、聚酯和ABS树脂等。
包装:25公斤纸板桶或纸箱包装。
溶解度: 25 单位:g/100mL溶剂


溶剂
苯乙烯
正庚烷
醋酸乙酯
乙醇 (95%)
乙二醇
溶解度
39.2
33.0
7.4
21.8
0.6
0
0


CopyRight 2017-2020 共享材料(www.areliya.com) 电话:0513-82262580 (商务洽谈) 手机号码:13817232091 地址:中国(上海)自由贸易试验区奥纳路79号1幢三层3011室 沪ICP备14003444号-1