1.产品名称
1)中文名称: 2-n-正辛基-4-异噻唑啉-3-酮
2)英文缩写: OIT
2.CAS#: 26530-20-1
3.分子式: C11H19NOS
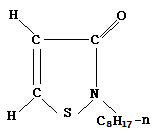
4.结构式及分子量:

相对分子质量: 213.34
(按1995年国际相对原子质量)
5.质量标准
| 序号 | 项 目 | 指 标 |
| 1 | 外观 | 浅黄色透明稠状液体 |
| 2 | 活性物含量(%) | ≥45.0 |
| 3 | 水份(%) | ≤1.0 |
| 4 | 密度(g/ml) | 1.02~1.05 |
6.性能特点:
1)该品具有很强杀灭霉菌能力,使用范围广,是传统漆膜防霉剂的更新换代产品。
2)毒性低,容易操作,可以在任何工序加入。
3)适用的pH范围广泛,5~9均可使用。
4)分散均匀,不含VOC , 热稳定。
5)环境中不累积 , 极易降解。
6)在强紫外线和酸雨条件下稳定。
7.应用领域:
适用于工业油品、塑料、建材、皮革、油漆涂料、纺织印染等领域的防霉。还可广泛应用于内外墙乳胶漆、木材制品和文物保护等诸多产品中。
8.使用方法及用量:
用于合成革、皮革、高聚物领域推荐添加量0.3-1.0%(w/w);具体加入量取决于涂料产品的性能和使用环境。
9.包装与贮存:
25kg、200kg、1000kg闭口塑料桶包装。本品应在避光和常温下保存,保质期为一年。
10.注意事项:
1)本产品常温下为液态,溶于有机溶剂,微溶于水。
2)使用时若溅于皮肤,要及时用清水冲洗,以免过敏或灼伤。
3)本品应在 pH ≤ 9.5 的介质中使用。
4)配戴防护衣、橡胶手套、眼罩和面具,避免接触皮肤、眼睛和粘膜。