- 产品中心

江苏天波 色酚AS-BO

价格 电议

起批量 25-9999 千克

卖家服务 48小时发货 买家保障支付方式支付宝
采购量-+

详情

别名:

纳夫妥AS-BO

英文名:

Naphthol AS-BO
CAS RN:132-68-3

索引号:

Azoic Coupling Component 4(37560)

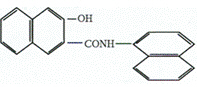
分子式:

C21H15NO2

结构式:

分子量:

313.43

外观:

米黄色粉末

含量:

≥99%

色光:

与标准品近似

强度、分:

为标准品100±5

干品熔点:

217℃

2.3酸含量:

≤0.1%

碱液中不溶杂质的含量:

≤0.15%

盐酸中不溶物:

--
用途:有机颜料的中间体。


CopyRight 2017-2020 共享材料(www.areliya.com) 电话:0513-82262580 (商务洽谈) 手机号码:13817232091 地址:中国(上海)自由贸易试验区奥纳路79号1幢三层3011室 沪ICP备14003444号-1