- 产品中心 -有机颜料

高邮市助剂厂 颜料黄138

价格 电议

起批量 25-9999 千克

卖家服务 48小时发货 买家保障支付方式支付宝
采购量-+

详情

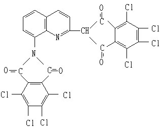
结构号: C.I.56300
结构式:
CAS号:30125-47-4
EC号:250-063-5
技术指标:
外观:黄色粉末
色光:与标准品相似
着色力: 与标准品相似100+5
耐热性: ≥300°C
耐晒性: 6级以上
水溶物: ≤1.0%
性能: 色泽鲜艳,着色力强,耐热性高,耐热性能优良,耐酸,耐碱性,无迁移性。
用途:主要用于塑料和涂料,油漆的着色,也用于合成纤维的原液着色。
包装:1公斤,5公斤,25公斤包装。

CopyRight 2017-2020 共享材料(www.areliya.com) 电话:0513-82262580 (商务洽谈) 手机号码:13817232091 地址:中国(上海)自由贸易试验区奥纳路79号1幢三层3011室 沪ICP备14003444号-1