- 产品中心







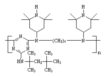
特性: Chiguard?622是一只粉体受阻胺光稳定剂,可与大部分聚合物相容并发挥出优异的光稳定效果,为聚合物的耐老化性带来无可比拟的作用。

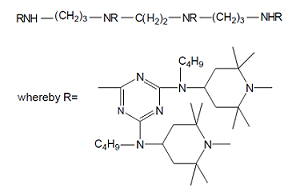
特性: Chiguard?944是一只粉体受阻胺光稳定剂,可与大部分聚合物相容并发挥出优异的光稳定效果,为聚合物的耐老化性带来无可比拟的作用。

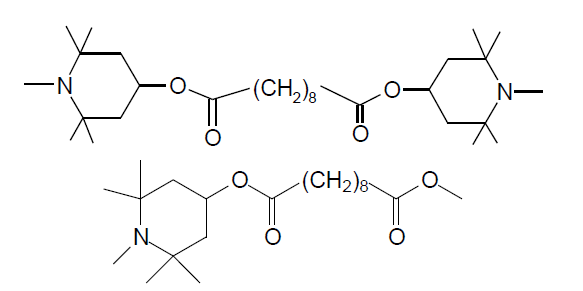
特性: 聚合物(指塑料和涂料中的有机树脂)在混炼、加工、制造以及使用过程中,受到光、氧、热、水、污染物的侵蚀、破坏,使聚合物寿命大幅下降,而使用紫外线吸收剂和受阻胺光稳定剂将可以延缓聚合物褪色、变色、表面开裂、失去光泽、拉伸强度下降、断裂伸长率下降等。 Chiguard?101是一只液体活性受阻胺光稳定剂,其几乎可溶解于所有常用有机溶剂中,也容易融入水性体系中,与各种聚合物相容性优异,耐老化持久性长,耐迁移性好,效能极高,对酸不敏感,特别适合应用于各种涂料、油墨、胶水及合成树脂中。如需获得更佳的聚合物保护效果,可搭配紫外线吸收剂一起使用,如5530、5400等等。

特性: 聚合物(指塑料和涂料中的有机树脂)在混炼、加工、制造以及使用过程中,受到光、氧、热、水、污染物的侵蚀、破坏,使聚合物寿命大幅下降,而使用紫外线吸收剂和受阻胺光稳定剂将可以延缓聚合物褪色、变色、表面开裂、失去光泽、拉伸强度下降、断裂伸长率下降等。 Chiguard?770是一只固体活性受阻胺光稳定剂,其与部分聚合物相容性优异,耐高温性好,特别适合应用于ABS、HIPS等工程塑料中。如需获得更佳的聚合物保护效果,可搭配紫外线吸收剂一起使用,如328、1577等等。
加入购物车